介于交流电网和负载间的UPS解析方案
来源:元器件交易网 作者:—— 时间:2012-03-08 15:46

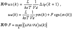
其中
为前馈自相关系数,
的确定将保证在滑模超平面上系统状态趋于稳定。
电流预测器控制项为

得到控制项。

(11)
3.2 电流控制器设计
将(1)离散化,其中采样周期为T,可得

(12)
系统的滑模函数可选为

(13)
其中

为跟踪误差
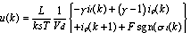
则电流控制器控制项为

(14)

滑模运动存在性证明与上文相似,并可得到满足条件01,则系统可在无抖动情况下达到滑模平面。并可得其控制项为

(15)
4 仿真结果
现设计一1KVA的单相逆变器,其参数如下:

采用TI提供的TMS320LF2407评估板以及第三方公司专门为TI的2000系列DSP设计的仿真软件VisSim/ECD,可进行相应算法的在线仿真并生成相应的目标文件C语言源代码。仿真后,得到系统在一次投入和卸掉满载时的电压电流波形如图3所示,结果表明,控制器在负载变化情况下,显示出良好的鲁棒性,并在短时间内恢复正常,在稳态运行中具有良好的跟踪性能,满载情况下,电压维持在99%以上。另外,在非线形负载情况下,控制器也表现出良好的电压调节性能。

图3.系统在投入和卸掉满载时的仿真结果
5 结论
本文提出了一种应用于UPS逆变器设计的离散滑模控制算法,设计采用双环结构,并具有限流和固定切换频率的特点,达到了消除抖动的目的。仿真结果表明系统能够有效的抑制输出电压波形失真,具有良好的电压调节性能以及带载能力强等特点。
下一篇:一种蓝牙无线显示屏系统的设计方案