无需聚光器和配光镜的LED阵列光强分布方案
来源:元器件交易网 作者:—— 时间:2011-12-13 16:19
目前通用的摩托车制动灯光源仍然是白炽灯占主导地位,加上红色的配光透镜实现配光要求,其缺点是白炽灯易损坏,功耗大,寿命短,可靠性差,给道路交通带来安全隐患等。LED(发光二极管) 具备体积小、寿命长、低能耗等优势被逐步应用于机动车车灯光源。目前通用的LED 摩托车信号灯的配光设计方案主要有三种:第一种是直接将多个食人鱼型LED 排布成平面状密封在灯罩内,其缺点是相当一部分光处在国标配光屏幕要求的范围外,造成光能的浪费;第二种是采用多个球帽型LED 排布成平面状密封于灯罩内再加上配光透镜配光,其缺点是一部分光经配光透镜折射、散射和吸收,造成灯具光效比较低;第三种是将多个食人鱼型LED 排布成平面,经抛物型聚光器和配光透镜联合配光。其缺点是聚光器设计成本高,配光透镜光能损失较大。三种配光设计方案设计的LED 摩托车信号灯光效低,光能损失大,设计成本高。
如果能够从理论上建立LED 光强分布的数学模型,研究一种LED 阵列的光强分布且无需聚光器和配光镜,使其满足国家标准,从而为LED 摩托车信号灯设计提供一种新的快捷、实用的方法,具有重要的理论与实际指导意义。
1 曲面LED 阵列的光强分布的数学模型
1. 1 单个LED 光强分布的数学模型
首先建立单个LED 光强的分布模型,如图1 所示。其中,探测球面中心为(0 ,0 ,0) ,半径为r ,α表示LED 光源的水平方向角;β表示LED 光源的垂直方向角;θ表示单个LED 光线OM 与光轴OL 的夹角;φ表示LED 光轴OL 与其在x y 平面投影的夹角;γ表示LED 光轴OL 在x y 平面投影与Y 轴的夹角。

则LED 光轴对应的单位坐标为(co sφsinγ,cosφsinγ,sinφ) ,探测球面上M点的坐标( rcosβsinα,rcosβcosα, rsinβ) 。
由此,LED 光源的光强分布可以表示为I =I (θ) 或者I = I (α,β) 。
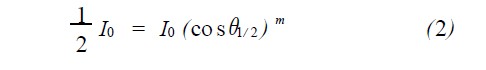
而单个LED 的光强分布不是理想的朗伯体,该分布可以表述为:
当θ =θ1/ 2 时

即

由图1 可知,θ也可以表示为LED 光轴对应的向量OL 与向量OM 的夹角,则

则

由公式(5) 可知,单个LED 的光强分布与LED在空间的倾斜角的垂直分量角φ和水平分量角γ有关,改变φ和γ就可以改变单个LED 光强的分布。
但是,由于单灯光强小,达不到摩托车信号灯的光强的国标要求,往往需要多个LED 组合,而改变单个LED 的倾斜角可以改变光强分布,因此可以进一步研究一种LED 的曲面阵列排布的光强分布,进而用它来完成对LED 摩托车信号灯的配光设计。
1. 2 曲面LED 阵列的光强分布的数学模型
当接受屏距离足够远时,多个LED 组合形成的面光源可以简化为点光源,且相邻两个LED 之间的间距对曲面LED 阵列的光强空间的影响可以忽略。则曲面LED 阵列的光强分布只与LED 的型号、LED 的个数、以及单个LED 倾斜角的垂直分量角φ和水平分量角γ有关。
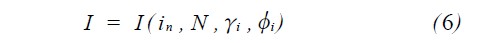
则光强函数表达式可以表述为:
式中I 为LED 阵列的光强; in 为第n 种型号的单个LED 光源; N 为LED 光源的个数。
根据公式(5) 则:






