采用主从控制使变频器得到理想同步控制效果解析方案
来源:元器件交易网 作者:—— 时间:2012-02-27 15:47

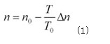
图2示出了转矩下垂功能原理:用参数规定额定负载转矩下的转速差,而系统根据实际转矩和给定转速决定实际的速度给定值,如式(1)所示。这样,系统根据转矩情况自动调整给定转速,具备了速度适应能力。因此,转矩下垂特性允许主机和从机之间存在微小的速度差。

式中,n为实际给定转速,n0为给定转速,δn为转速差,t为实际转矩,t0为额定转矩。
2.3.2 abb变频器主从控制原理及参数设置
(1) 主从控制原理
abbacs800系列变频器主从控制采用直接转矩(dtc)作为其核心控制原理。而直接转矩控制技术是在变频器内部建立了一个交流异步电动机的软件数学模型,根据实测的直流母线电压、开关状态和电流计算出一组精确的电机转矩和定子磁通实际值,并将这些参数值直接应用于控制输出单元的开关状态,变频器的每一次开关状态都是单独确定的,这意味着可以产生实现最佳的开关组合并对负载变化作出快速地转矩响应,并将转矩相应限制在一拍以内,且无超调,真正实现了对电动机转矩和转速的实时控制。控制原理如图3所示。
在主从控制应用中,外部信号(包括起动、停止、给定信号等)只与主机变频器相连,主机通过光纤将从机控制字和转速给定值、转矩给定值广播给所有的从机,实现对从机的控制。从机一般不通过主从通讯链路向主机发送任何反馈数据,从机的故障信号单独连至主机的运行使能信号端,形成联锁。一旦发生故障,联锁将停止主机和从机的运行。

主机发送给从机的的控制字是一个16位字,其中仅b3(run)、b7(reset)、b10(remote-cmd)使用,当从机参数10.01(ext1start/stop/dir)或10.02(ext2start/stop/dir)设置为comm。cw时,控制字命令有效。给定值是包括1个符号位和15个整数位的16位字,给定1为速度给定,给定2为转矩给定。在从机中,要将给定1定义为从机的外部速度给定,需将参数11.03(extref1 select)设置为comm。ref;要将给定2定义为从机的外部转矩给定,需将参数11.06(ext ref2select)设置为comm。ref。
图4为主机和从机为刚性连接时,从机跟随主机转矩给定的控制原理图。主机采用速度控制方式,即速度给定speedref3与实际速度actual speed相比较,通过pi调节器得到转矩给定值torqref3,该值经过频率限幅、直流电压限幅、功率限幅和转矩限幅后,得到最终的转矩给定值torq refused。该值和定子磁通给定值分别同相应的实际值在滞环比较器内进行比较,得到最优的pwm信号,最终通过驱动逆变器的开关器件达到调节转速的目的。主机速度环输出的最终转矩给定值torqref used同时作为从机的转矩给定值,实现主机和从机的负载转矩平衡分配。







