无需聚光器和配光镜的LED阵列光强分布方案
来源:元器件交易网 作者:—— 时间:2011-12-13 16:19

由公式(7) 可知:改变γi 和φi , 可以改变曲面LED 阵列的分布,通过合理的配置,无需附加反光杯或透镜就可以实现L ED 摩托车信号灯的配光设计。
下面就以LED 摩托车信号灯为例,介绍该方法的应用。
2 曲面LED阵列的光强分布数学模型在LED 摩托车信号灯配光设计中的应用
2. 1 摩托车信号灯的国家标准
我国摩托车信号灯采用的标准是《摩托车光信号装置配光性能GB T17510 - 1998》,这个标准是针对传统白炽灯的规定,L ED 摩托车灯具的设计也只能继续沿用上述标准, 对于LED 摩托车信号灯的配光性能具体规定如下:
在满足光度学二次平方反比定律距离确定的配光屏幕上,分布在范围为左右20°,上下10°的椭圆形区域内的测试点,光强要求在一定的范围之内,且满足如图2 中的分布。

其中图中的栅格线交叉处的数字为百分比,它表示该方向光强最小值与基准轴线方向光强度最小值的比值,栅格线围成的范围内任一方向测得的光强不得小于该方向周围诸方向中最小的光强值。
2. 2 LED 摩托车信号灯的配光设计
由于单个LED 的光强达不到国家标准对机动车灯光强的要求,因此采用LED 的摩托车信号灯必须对LED 进行阵列排布。
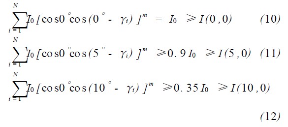
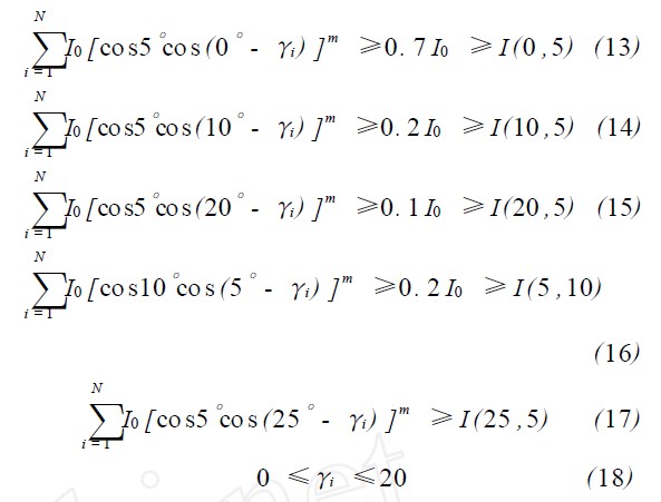
目前,市面上不同型号的球帽型LED 光源的光强分布范围和国标要求的测点的光强百分比比值不满足图2 所示的国标的光强要求,大部分球帽型LED 光源的光强集中在水平角和垂直角±15°的范围内且垂直方向的光强分布基本上满足国标光强分布图V2V 方向的分布要求,但水平方向±20°处的光强值几乎为零,因此只需要将水平角15°从扩散到20°,根据公式(7) ,令
则

根据国家《摩托车光信号装置配光性能GB T17510 - 1998》中摩托车信号灯光强满足的要求,考虑到国标要求光强分布分别关于H - H 对称和V2V 对称,则:


其中I (0 ,0) 表示水平方向角0°,垂直方向角0°时的光强值,其余的类推。






