多台逆变器并联扩大逆变器容量优势解析方案
来源:元器件交易网 作者:—— 时间:2012-03-08 15:36
1 引言
相对于单台大功率逆变器而言,采用多台逆变器并联来扩大逆变器的容量具有很多优点[1-2],比如,多台逆变器的并联可以灵活地扩大逆变器的容量,还可以组成并联冗余系统以提高系统的可靠性以及增加其可维修性[3]。然而,逆变器的并联存在很多的困难。现在用得较多的分散逻辑并联控制技术仍然存在一些缺陷,因而,要实现较完善的并联系统中逆变电源独立控制,采用“无互联线的并联控制”技术应为最理想的选择,这种无互联线的逆变电源并联控制系统的同步及均流控制只依赖于各模块内的系统控制策略,可使各逆变电源模块之间的控制系统电气联系完全隔离,系统安装或维修更加简便、快速,并联运行更加可靠,容量的扩展也更加容易和方便[4]。
在本文所提出的控制策略中,分别采用频率下垂和电压幅值下垂特性来保证有功和无功均分。在两台单相3KVA逆变器上的实验结果表明,本方案可以获得很好的静态与动态特性。
2 理论分析
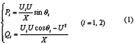
为了分析方便,两台逆变器的并联等效电路如图1所示。图

和

分别是逆变器1与逆变器2的输出电压和输出电流;U<0是负载电压;由于线路阻抗主要表现为感性,可以用jX表示;Z为负载。

一般可以认为两台功率相等的逆变器的线路阻抗相等,于是可以计算出两逆变器的输出有功与无功:

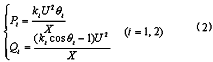
由于在控制中一般使得逆变电源的输出电压和系统电压
间的相位差较小时才会并联,因而

且令

,则

由(2)式可以看出,改变相位角
,即可控制有功功率
,而控制电压幅值系数
即可控制无功功率。
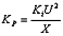
2.1 相位与有功的关系
如果两台逆变器输出电压的幅值

为零,而相位差

不为零,则由(2)两式可得逆变电源的相位、频率及有功功率的调节关系如下:

其中:

为有功功率系数。
而逆变电源的输出电压相位控制是通过输出频率的调节实现的,即为:

其中:
为频率的变化量或调节量。由(3)和(4)可以推出:

由上式可以看出,由于相位差的改变也就决定了各逆变电源的输出有功功率的变化,而频率差又可由相位差相对应的有功功率变化率得到,因而,即使在不知道系统的实际公共负载大小和类型的情况下,要调节各输出的有功功率,则不必关注于各输出电压与公共负载端电压的实际相位关系,而只需针对有功功率的大小对输出频率作相应的调整。